domingo, 28 de febrero de 2021

Los funcionarios de defensa estadounidenses describen la estrategia de desarrollo de los hipersónicos

EE.UU.
Los funcionarios de defensa describen la estrategia de desarrollo de los hipersónicos
El Departamento de Defensa ha identificado a los hipersónicos como una de las áreas de modernización de mayor prioridad, ya que Rusia y China desarrollan sus propios sistemas capaces.
Por David Vergun



Los sistemas hipersónicos pueden viajar en vuelos prolongados dentro de la atmósfera superior (de 80.000 a 200.000 pies) a velocidades cercanas y superiores a Mach 5, y pueden maniobrar de maneras que son difíciles de predecir para los defensores.


Un gráfico muestra un jet atravesando el cielo.


El rango de gran altitud crea una brecha entre las defensas aéreas y las defensas de misiles balísticos, dijo Mike White, director principal de hipersónicos en la oficina del subsecretario de defensa para investigación e ingeniería.

White dijo a los asistentes al Simposio virtual de guerra aeroespacial de la Asociación de la Fuerza Aérea que para abordar estos desafíos, el departamento ha desarrollado una estrategia de modernización hipersónica que acelera el desarrollo y la entrega de capacidades de guerra transformadoras. Dijo que la estrategia consiste en:

  • Desarrollar armas de ataque hipersónicas armadas convencionalmente, lanzadas por aire, tierra y mar para la derrota de gran capacidad de supervivencia, de largo alcance y en el tiempo crítico de objetivos marítimos, costeros e interiores de importancia crítica en el campo de batalla táctico.
  • Usando la derrota completa y en capas de la capacidad táctica de misiles de ataque hipersónico de un adversario.
  • Utilizando sistemas hipersónicos reutilizables para inteligencia, vigilancia, reconocimiento y ataque, así como la primera etapa de un vehículo de dos etapas para un acceso rápido al espacio.

White dijo que la estrategia del DOD tiene cuatro fases principales de implementación:

  • La fase 1 es el desarrollo de tecnología y la demostración del concepto.
  • La fase 2 es el desarrollo y la demostración del prototipo del concepto del sistema de armas.
  • La fase 3 es el despliegue acelerado de la capacidad del prototipo del sistema de armas.
  • La fase 4 es la creación de programas de adquisición y planes de fases de capacidad.

La estrategia hipersónica se está implementando en un conjunto de programas altamente coordinados a través de los servicios y agencias militares y con inversiones críticas que permitan en la base industrial y laboratorios orgánicos, así como también trabajando en colaboración con nuestros aliados, cuando corresponda.

"Ofreceremos capacidad de ataque al combatiente a principios y mediados de la década de 2020 y una capacidad de defensa hipersónica en capas, primero terminal y luego fase de planeo, a mediados y finales de la década de 2020. Para los sistemas reutilizables, nuestro objetivo es ofrecer capacidad de principios hacia a mediados de la década de 2030", dijo White.


Un aviador trabaja en un avión.


Un ingeniero trabaja en un vehículo hipersónico.


El Brigadier General de la Fuerza Aérea Heath A. Collins, oficial ejecutivo del programa de armas y director de la dirección de armamento en el Centro de Gestión del Ciclo de Vida de la Fuerza Aérea en el Comando de Material de la Fuerza Aérea, dijo que su organización está desarrollando un programa de creación rápida de prototipos para el AGM-183A lanzado desde el aire, el arma de respuesta rápida, apodada ARRW.

El programa ARRW es un arma hipersónica basada en impulso-planeo. Collins dijo que su equipo se está preparando para la primera prueba de vuelo de refuerzo la próxima semana. "También nos estamos preparando para la transición a la producción dentro de aproximadamente un año en ese programa, por lo que será la primera arma hipersónica de lanzamiento aéreo que tenga la Fuerza Aérea."

"Estamos muy orgullosos de estar en la empresa de armas hipersónicas en este momento de este momento emocionante, y estamos en la cúspide de una capacidad operativa", agregó Collins.

James Weber, científico senior de hipersónicos en el Laboratorio de Investigación de la Fuerza Aérea, dijo que el laboratorio tiene una larga historia en el desarrollo de la ciencia y la tecnología hipersónica, que comenzó a principios de la década de 1960.

Durante los últimos 25 años, el DOD ha invertido alrededor de $ 1.7 mil millones en hipersónicos, dijo.

"Tenemos una amplia cartera de tecnología para hipersónicos con competencias en capacidades de prueba y propulsión térmica, como propulsión scramjet y motores de cohetes sólidos y cohetes líquidos, materiales, materiales y estructuras de alta temperatura, fabricación, sistemas de control de guía y también investigación básica". Weber dijo, y agregó que AFRL trabaja en estrecha colaboración con otros servicios y agencias militares.


Un jet atraviesa un túnel de viento.


Por ejemplo, Weber dijo que el laboratorio de investigación se está asociando con la Agencia de Proyectos de Investigación Avanzada de Defensa en el programa de concepto de armas hipersónicas que aspiran aire, así como en los programas de planeadores de impulso táctico. "Estamos asociados con ellos para desarrollar y demostrar tecnologías críticas para el lanzamiento de armas hipersónicas para el año fiscal 22".

Weber agregó que su equipo también está colaborando con el proyecto ARRW de Collins.

El mayor general de la Fuerza Aérea Andrew J. Gebara, director de planes estratégicos, programas y requisitos del Comando de Ataque Global de la Fuerza Aérea, dijo que el desarrollo de nuevas capacidades hipersónicas requiere estrategias de adquisición aceleradas una vez que se reducen los programas más prometedores.

Gebara dijo que a lo largo de los años, el departamento ha realizado algunas pruebas increíbles con hipersónicos, pero no ha seguido hasta la producción. Lo que es diferente esta vez es que existe la voluntad nacional de acelerar estos programas y ponerlos en marcha rápidamente.



Estudio: Estados Unidos necesita construir más armas espaciales
El aumento de las armas antisatélite significa que necesitamos más defensas para protegernos de las amenazas.


Imagen de Futurism


Defensa contra las artes oscuras (en el espacio)

Un nuevo informe publicado el viernes arrojó luz sobre la creciente necesidad del sistema de defensa espacial de EE. UU.

Investigadores del Centro de Estudios Estratégicos e Internacionales llamaron la atención sobre la falta de defensas para protegerse contra - sí - amenazas en el espacio, en un nuevo informe publicado el 26 de febrero. Titulado “Defense Against the Dark Arts in Space: Protecting Space Systems from Counterspace Weapons”, advierte el estudio sobre las vulnerabilidades de la actual infraestructura satelital de Estados Unidos que las naciones beligerantes podrían explotar.

Armas en el espacio

Si bien las armas espaciales pueden parecer un desarrollo más reciente (con iniciativas como la US Space Force), Las armas han prevalecido en órbita desde la Guerra Fría. Las iniciativas de militarización han incluido armar satélites con misiles balísticos.

Como resultado, las naciones han comenzado a invertir en tecnología como misiles, inhibidores, láseres y sistemas de ciberataques para derribar estos satélites.

"Lo que queríamos hacer con este informe es mirar el otro lado de la ecuación", dijo a Space News el analista de CSIS y coautor del informe, Todd Harrison. "Sí, vemos todas estas amenazas a los sistemas espaciales, pero ¿qué haces al respecto?"

Contramedidas del contraespacio

El informe recomienda varias formas para que el gobierno de los EE. UU. proteja sus satélites que orbitan la Tierra, y se pueden dividir en dos categorías: defensas pasivas y activas.

Las defensas pasivas hacen que nuestros satélites y otras infraestructuras sean "más difíciles de apuntar o más capaces de resistir ataques", según el informe. Incluyen cosas como sistemas de concientización que advierten de ataques inminentes y peligros para los satélites.

Las defensas activas se centran en eliminar la amenaza directamente. Piensa que "la mejor defensa es una buena ofensiva". Incluye medidas como láseres para interrumpir las armas antisatélite entrantes, así como naves espaciales que interceptan físicamente y capturan satélites amenazantes.

El informe es una mirada interesante, aunque ligeramente aterradora, sobre la creciente militarización del espacio. Con la bendición de la Fuerza Espacial de EE. UU. por parte de la administración Biden, no sería irrazonable esperar que la inversión en armas orbitales y sistemas de defensa, si no la idea de ellas, volaran un poco más en órbita en el futuro.




Modificado por orbitaceromendoza

Una explicación fundamental de los UAP/FANI (Fenómenos Aéreos No Identificados)

Una explicación fundamental de los UAP/FANI (Fenómenos Aéreos No Identificados)
Presentamos una teoría de cómo funcionan los UAP que explica todo lo que se puede observar sobre ellos. Al comprenderlos, también podemos explicar su origen y naturaleza. Nuestro objetivo es resolver el asunto de una vez por todas.


UAP en Aguadilla, Puerto Rico, 2013.



Prefacio

Alinear sus expectativas con el estado actual de la investigación

Dada la naturaleza del tema discutido aquí, deseamos dejarle algo muy claro. El estigma que rodea al tema de los UAP (fenómenos aéreos no identificados) y su posible explicación no mundana está desactualizado y debería haber comenzado a desaparecer con el descubrimiento de exoplanetas habitables. Nuestra capacidad para encontrar tales planetas es todavía nueva y ha sido necesario hasta ahora para obtener buenas estadísticas. Casi nadie ha tenido tiempo de actualizar sus opiniones y expectativas en consecuencia, así que hagámoslo muy rápido.

Ahora podemos estimar que hay 6 mil millones de planetas habitables similares a la Tierra en nuestra galaxia, y en 2020, se identificaron 24 planetas más habitables que la Tierra, que es el 0,6% de todos los planetas conocidos actualmente. Aplicado a toda la galaxia, esto nos lleva a esperar del orden de mil millones de estos planetas: se pueden esperar 6 de ellos en 50 años luz y, por lo tanto, están a la vuelta de la esquina. La galaxia no solo es vasta en tamaño y tiempo, sino también en mundos. Incluso la ciencia ficción ha subestimado esta abundancia.

Debido a esta nueva imagen de la galaxia, nuestras expectativas de lo que está ahí afuera deben cambiar por completo. Dado que hay planetas que esperamos sean más adecuados para la vida que la Tierra, también tenemos que esperar que haya vida compleja allí, o sería ilógico. La probabilidad de que existan otras civilizaciones incluso en nuestra vecindad ha aumentado de manera tan dramática que tales consideraciones ya no pueden ser objeto de ridículo sin descartar la investigación de los exoplanetas. El escepticismo previo sobre los UAP estaba ciertamente justificado debido a la falta de datos creíbles (y demasiadas tonterías en torno a este tema). Además, incluso el Pentágono y la Marina de los Estados Unidos han reconocido públicamente la realidad de estos objetos y sus maniobras, sin ser ni siquiera la primera nación en hacerlo. Ha llegado el momento de tomarnos este tema muy en serio.

En este sitio web, presentamos una teoría fundamental para el sistema de propulsión de los UAP, que nos permite predecir sus movimientos, comportamientos y origen con sorprendente facilidad una vez que entendemos qué están haciendo realmente estos dispositivos. Los datos necesarios para llegar a una conclusión ya están disponibles y solo se requiere una teoría para explicarlos.

Visión general

  1. Presentamos una teoría y una explicación cualitativa de la física de los UAP y discutimos su probable origen.
  2. A partir de la teoría, hacemos una lista de predicciones que se pueden probar mediante la observación. Queremos que el personal de la Marina esté al tanto de esto.
  3. Proporcionamos evidencia de estas observaciones dentro de los datos que ya están disponibles.
  4. Para lectores generales, hemos preparado páginas adicionales con explicaciones más detalladas de algunas de las físicas involucradas.

Suposición

En abril de 2020, el Departamento de Defensa de los Estados Unidos y la Marina publicaron tres videos de UAP desclasificados, que también están rodeados de información proporcionada por parte del personal de la Marina involucrado en los incidentes. Esto imparte una credibilidad a la realidad de los UAP que no existía antes de este tiempo, y ahora podemos aceptar la naturaleza de los objetos como un tema científico de investigación. Suponemos que esta información adicional es objetiva ya que el Pentágono tenía la intención de "aclarar conceptos erróneos" y se permitió al personal presentar sus relatos del incidente.

Entendiendo los UAP

Hoy en día, los grupos de ataque de los portaaviones rastrean los UAP con múltiples sistemas de radar de alta fidelidad, sistemas de infrarrojos, sistemas de sonar (si ingresan al agua) y personal de la Marina, todos corroborando la información. Una falla dentro de un sistema individual no puede ocurrir en todas las plataformas al mismo tiempo exactamente de la misma manera. A partir de esto, sabemos con certeza cómo se mueven estos objetos, su velocidad y sus aceleraciones. Los sistemas de radar modernos proporcionan datos de movimiento en 3D en todo el espacio de batalla que rodea a los grupos de ataque de portaaviones. Los videos hasta ahora publicados oficialmente son solo una pequeña parte de la información que la Marina tiene disponible. Los datos de radar sobre velocidad y maniobras son mucho más útiles que los movimientos observados visualmente.

Sin embargo, solo hay una pieza de información que realmente necesitamos para descubrir cómo funcionan los UAP: sus aceleraciones.


Visualización del encuentro “Tic-Tac”. Crédito de la imagen: Brian Bell


Los UAP demuestran aceleraciones lineales en un segundo a velocidades más altas que las de los aviones ordinarios. También son capaces de maniobrar en ángulos agudos.

Ejemplo: En un momento durante el incidente "Tic Tac" de 2004, el UAP se movió (en el radar) de 80.000 pies a varias altitudes de 28.000 pies a 50 pies sobre el nivel del mar en 0,78 segundos. Un movimiento en ese marco de tiempo a lo largo de, digamos, 60.000 pies de distancia produce aceleraciones por encima de 12.000 fuerzas g y velocidades por encima de 100.000 mph si asumimos que la mitad de la distancia se usó para acelerar y la otra mitad para desacelerar.

De manera rutinaria, se miden los UAP y se observa que se mueven repentinamente muy rápidamente, comenzando con cientos de fuerzas g hasta el caso extremo como el descrito anteriormente.

El argumento principal

Lo único que vamos a poner en la teoría son las altas aceleraciones de estos objetos materiales y exigir que sean compatibles con las leyes del movimiento. Hacemos esto al tener la idea de que estas aceleraciones son demasiado grandes y, por lo tanto, no pueden estar allí. De hecho, hay una forma en que las leyes de la física permitirán que un objeto se mueva e incluso se acelere sin sentir ninguna aceleración. Esto sucede si te mueves a lo largo de una geodésica del espacio-tiempo.

Las geodésicas, en pocas palabras, son líneas rectas sobre una superficie curva y, por lo tanto, son diferentes según la forma de la superficie. Puedes pensar en el espacio-tiempo en el que existimos como una superficie que tiene una curvatura producida por masas (energía) colocadas en ese espacio-tiempo. El espacio-tiempo curvo también tiene geodésicas, que son los caminos que todos tomamos si caemos libremente. Una pelota de béisbol se mueve sobre una geodésica, al igual que los satélites, la luna, la estación espacial. Las geodésicas son el camino natural que tomas a través del espacio-tiempo si nada te empuja a otra parte, y es por eso que los astronautas están en gravedad cero. 

Ahora ve por qué un UAP no puede tener aceleraciones mientras se mueva sobre una geodésica. Pero hay un problema: las geodésicas dependen de la curvatura del espacio-tiempo y son fijas. Pero los UAP pueden navegar como quieran. Esto solo puede funcionar si los UAP tienen un sistema de propulsión exótico que es capaz de crear sus propias geodésicas al curvar el espacio-tiempo cerca de él en la forma requerida. Esto permitiría que los UAP cayeran libremente a lo largo de cualquier trayectoria prevista. Al hacerlo, no importa cómo se mueva, los UAP en sí mismos no experimentarían ninguna aceleración.

Considere la elegancia de lo que acabamos de hacer. Solo observamos las altas aceleraciones de estos objetos y exigimos que fueran consistentes con las leyes de la física en lugar de desafiarlas. Al hacer que estos movimientos sean consistentes con la física, se nos impone un exótico sistema de propulsión gravitacional. No pusimos esto, nos llevaron a ello como consecuencia. Sin un sistema de propulsión de este tipo, estos objetos rompen las leyes de la física. Si encuentra esta tecnología inverosímil en este momento, considere que romper las leyes de la física sería mucho más inverosímil que eso.

Corramos con esta idea y averigüemos cuáles serían las consecuencias de tal sistema de propulsión. Es decir, si existe, ¿qué implica y podemos probar si es cierto?

Nuestra Hipótesis

Como se dedujo anteriormente, los UAP crean distorsiones en el espacio-tiempo para crear geodésicas a lo largo de las cuales se mueven sin aceleraciones.

Plausibilidad

Atención, esta sección no es trivial, pero tampoco es necesaria para avanzar, por lo que puede omitirla si es demasiado. Su propósito es darle una idea y una apreciación de cómo es probable que funcione un motor que distorsiona el espacio-tiempo, incluso sin saber cómo construir uno.

La relatividad general en sí no parece permitir un sistema de propulsión por gravedad porque requiere demasiada energía o formas exóticas de energía. Pero la relatividad general no es una teoría cuántica y, por tanto, no es completa.

Mira, cada vez que se formula una teoría más profunda del universo, no hace que las viejas teorías sean incorrectas, sino que se suma a ellas.

La mecánica newtoniana clásica es lo que todo el mundo aprende en la escuela. La mecánica cuántica y la relatividad especial son dos teorías más profundas que esa. Pero si pones bajas velocidades diarias en la relatividad especial, entonces la relatividad vuelve a la mecánica clásica. Y si describe grandes objetos cotidianos con mecánica cuántica, entonces la mecánica cuántica también se convierte en física clásica. La relatividad general también vuelve a la gravedad newtoniana en el límite de los campos gravitacionales débiles. Esto significa que la física newtoniana en general es en realidad el límite de objetos grandes y lentos de estas teorías más profundas.

Pero estas teorías más profundas contienen muchos más detalles. Efectos cuánticos, por ejemplo, que se suman a nuestra comprensión del mundo, nuevos efectos que podemos aprovechar para crear tecnología como las computadoras. La tecnología moderna es una explotación de los efectos cuánticos que la física newtoniana no contiene.

Todavía queda un nivel más allá de nuestras teorías más profundas: la gravedad cuántica, una descripción del espacio-tiempo y su curvatura (gravitación) en forma de teoría cuántica. Como antes, esta teoría más profunda reproducirá la relatividad general, pero con algunas correcciones y adiciones: efectos cuánticos en el espacio-tiempo mismo. Si ya tuviéramos terminada esta teoría, podríamos explotar esos nuevos efectos y manipular el espacio-tiempo y su curvatura de forma cuántica.

Puede que te sorprenda, pero en realidad ya no estamos del todo desorientados sobre la gravedad cuántica. A pesar de que aún no existe una teoría completa, podemos ver hacia dónde se dirige el viaje.

En los últimos años, comenzando con la obra de Maldacena (en este artículo), estamos empezando a ver cómo funciona el espacio a nivel cuántico. Desde 2009, entendemos que el espacio resulta ser una red de bits cuánticos que están todos entrelazados (aquí hay una sección de un programa donde se explica esto).


El espacio en sí es el entrelazamiento de bits cuánticos que existen en el horizonte del universo (la superficie de la burbuja, por así decirlo).


Estos bits cuánticos corresponden a los puntos del espacio que describen, y la conexión de todos los puntos en el espacio entre sí es en realidad el entrelazamiento entre los bits cuánticos. Entonces, el espacio y la información cuántica entrelazada son lo mismo. La cantidad de entrelazamiento de dos bits determina qué tan cerca están sus puntos espaciales correspondientes. Más entrelazamiento = cerca. Menos entrelazamiento = lejos. Así entendemos qué es el espacio, qué distancias hay en ese espacio y, finalmente, qué es realmente el movimiento. Los movimientos son cambios en la cantidad de entrelazamiento de un bit cuántico con todos los demás.

La gravitación (la curvatura del espacio-tiempo) parece entonces ser nada más que una propiedad de dicha red de entrelazamiento cuántico que tiene que ver con su entropía. Se están comenzando a intentar formulaciones de este tipo y ya son muy prometedoras. Por ejemplo, resulta que la famosa materia oscura puede que ni siquiera exista, ya que la gravedad adicional que vemos parece ser una corrección cuántica de la relatividad general. Se necesita hacer mucho más trabajo en este enfoque, pero hemos visto durante bastante tiempo que la gravedad va a tener algún tipo de explicación de entropía.

Si tuviéramos una teoría completa de la gravedad cuántica (una descripción completa de la red de entrelazamiento), entonces deberíamos ser capaces de crear tecnología para manipular esa red del mismo modo que podemos construir computadoras cuánticas conociendo la mecánica cuántica, que es una tecnología que suena igual de bien, muy parecido a la ciencia ficción como sistema de propulsión por gravedad. Pero en realidad tenemos computadoras cuánticas.

En lugar de pensar en esto desde la antigua perspectiva clásica, ahora puedes pensar en ello desde una perspectiva cuántica. En lugar de desperdiciar enormes energías en lugares particulares para deformar el espacio-tiempo, podríamos manipular de manera muy precisa y con mucha menos energía la red de entrelazamiento, lo que equivale a cambiar la geometría del espacio-tiempo.

Esto significa que al hipotético sistema de propulsión de los UAP se le aplica la gravedad cuántica de la misma manera que a una computadora cuántica se le aplica la mecánica cuántica. Conocemos geometrías en relatividad general que se mueven a altas velocidades (incluso más rápido que la luz), por lo que incluso los viajes interestelares serían posibles con esta tecnología.

Predicciones

Según nuestro conocimiento, los UAP no vuelan. Están cayendo.

Requerir que los UAP sean consistentes con las leyes del movimiento nos lleva a un impulso de gravedad, a falta de un término mejor, que tiene las siguientes implicaciones:

1- Los UAP deben ser redondos o geométricos, ya que no hay una dirección preferida orientada hacia adelante. Dado que utilizan el espacio-tiempo como su superficie de control, no necesitan alas ni posquemadores (haga una pausa por un segundo y tenga en cuenta que acabamos de obtener los diseños conocidos de UAP solo a partir de nuestra demanda de que los UAP no rompan las leyes de la física. Su forma simplemente se sale de ella como consecuencia sin ponerla en primer lugar).
2- Los UAP pueden maniobrar en ángulos agudos a altas velocidades porque se mueven sobre geodésicas y están en cero G.
3- Las partículas se mueven a lo largo de la geometría curva del espacio que las rodea, evitando la nave. Así, los UAP tienen una envoltura de vacío a su alrededor y pueden moverse sin fricción tanto en el aire como en el agua, por lo que pueden entrar y salir sin impedancia. Pueden moverse más rápido de lo que sería posible para cualquier nave que esté en contacto con el aire o el agua.
4- Los UAP se mueven de forma muy silenciosa o silenciosa, a diferencia de los jets. Es posible que no creen un boom sónico cuando se vuelven súper sónicos.
5- Deberíamos ver lentes gravitacionales alrededor de los UAP cuando maniobran, ya que deben cambiar la geometría de su campo de distorsión para cambiar su trayectoria. Si este efecto óptico es lo suficientemente grande, deberíamos ver que el UAP cambia de forma a medida que acelera o gira. También podemos ver el fondo del UAP distorsionado en sus proximidades.

El punto 5 es el más importante. Cuando la luz entra y existe en el campo de distorsión, las trayectorias de la luz siguen la curvatura del espacio-tiempo y salen en diferentes ángulos. Digamos esto claramente:

No ve un UAP directamente porque siempre lo está viendo a través del campo de distorsión, como un objeto en un recipiente de vidrio distorsionado.

Si el UAP quiere maniobrar o cambiar su velocidad, debe cambiar la distorsión local del espacio-tiempo para crear una geodésica diferente, por lo que cae en una dirección diferente. Entonces deberíamos ver que el objeto cambia de forma porque las trayectorias de la luz cambian con la geometría del campo.

Este es un punto de suma importancia y nunca antes habíamos visto a nadie mencionarlo. Los UAP generalmente deben cambiar su forma aparente a medida que maniobran. Vamos a analizar esto más adelante. Tenga en cuenta que solo podemos esperar esto mientras maniobran o aceleran porque una vez hecho esto pueden continuar moviéndose a una velocidad constante. El movimiento a una velocidad constante no requiere un campo de distorsión. Esto significa que todavía podemos ver un UAP en su mayoría sin distorsiones, pero tenemos que buscar cambios en su forma cuando maniobra.

6- Los UAP se pueden hacer invisibles desde abajo eligiendo el campo de distorsión de tal manera que la luz que desciende de la nave se refleje hacia arriba o hacia los lados. Desde esas posiciones hacia arriba, deberíamos poder ver uno o más espejismos del UAP si tal capa está activa.
7- Los UAP no se pueden ocultar y deben aparecer sin distorsiones si pretenden emitir un rayo, ya sea para escanear el entorno, trazar un mapa del suelo o atacar. De lo contrario, cualquier rayo se enfocaría en otra dirección en lugar de ir a donde se supone que debe ir.
8- Los UAP pueden parecer rodeados de vidrio, ya que tienen una envoltura de vacío a su alrededor. La luz se mueve desde el aire hacia ese vacío y luego regresa al aire cuando sale. Cuando la luz pasa del aire al vacío, se refracta parcialmente reflejada, como si entrara al vidrio u otros medios. A grandes altitudes, la luz solar directa puede ser lentificada, reflejada y refractada para producir manchas o anillos brillantes alrededor del UAP. Entonces, un piloto puede tener la falsa impresión de que el UAP está rodeado de vidrio.
9- La producción de energía de los UAP debe ser significativa, haciendo que el aire se caliente y emita luz visible (como una bombilla). Podemos esperar esto, pero está claro que dependerá del diseño y la velocidad de la nave. Si un UAP está oculto, puede funcionar con poca energía y velocidad para evitar ser detectado. Por tanto, no podemos descartar que sea posible evitar la radiación térmica según las circunstancias o los diseños de las naves.
10- Algunos UAP deberían mostrar rotaciones notorias antes de desaparecer. Dado que la velocidad máxima de cualquier nave necesita que su motor funcione a su máxima capacidad, esperamos que un UAP utilice toda su capacidad de manipulación del espacio-tiempo para acelerar a su velocidad máxima. Pero el motor se usa normalmente para sostener el objeto contra la gravedad de la Tierra y para realizar maniobras, que podemos esperar que requieran una orientación particular de la nave dependiendo de su diseño (probablemente apuntando el motor hacia abajo o hacia arriba). Para cambiar de las maniobras normales a su velocidad máxima, entonces se requeriría que el objeto girara hacia el punto de viaje para enfocar el motor en esa dirección, creando algo similar a una métrica de Alcubierre, que es una geometría donde el espacio-tiempo se contrae frente a la nave y se expande detrás de él. Al menos con algunos diseños de UAP, en particular los diseños planos, esperamos una rotación de la nave antes de un salto a velocidades máximas. Es posible que los UAP esféricos o en forma de cubo no lo necesiten, ya que los generadores de campo se pueden colocar alrededor de la forma de la nave.

Antes de entrar en observaciones, tenga en cuenta que la mayoría de estos puntos se conocen comúnmente sobre los UAP. Entonces, al exigir que las leyes del movimiento no sean violadas por estos vehículos, finalmente seremos conducidos a esta lista de consecuencias que se ajusta a todos los observables conocidos acerca de los UAP, ¡y más! Todos estos fenómenos comúnmente observados son en realidad manifestaciones de una sola tecnología. Los UAP nunca han desafiado a la física, solo parece que lo hacen.

Observaciones y verificación

Todas las predicciones anteriores se derivan solo del diseño del motor. Los puntos que más necesitamos discutir son 5. y 6. ya que la lente gravitacional es la mejor observable para demostrar la naturaleza del sistema de propulsión.

Ya se sabe que cuando miras un UAP, es notoriamente difícil entender qué forma puede tener. Vamos a entender esto completamente una vez que veamos la mejor evidencia de video que esté disponible públicamente. Antes de que podamos entrar en el,lo necesitamos hablar un poco sobre lentes gravitacionales.

El telescopio espacial Hubble ve lentes gravitacionales por todo el lugar. Las galaxias crean enormes distorsiones en el espacio-tiempo debido a su presencia y a medida que la luz se propaga a través de ese campo, los caminos de la luz se desvían antes de llegar a nuestra cámara. Esto produce dos tipos principales de distorsiones en la imagen de galaxias y estrellas.

Anillo de Einstein
Simulación de un agujero negro que se mueve frente a una galaxia. La luz se proyecta a su alrededor en forma de anillo. Los anillos, o piezas de anillos, se observan con mucha frecuencia.

Cruz de Einstein
Otra ocurrencia común son los duplicados del mismo objeto. Las cuatro luces a cada lado muestran el mismo quásar cuya luz se enfoca alrededor de una galaxia en el medio y llega a la cámara desde múltiples lados.


Ahora, veamos algunos ejemplos.


Una ilustración de cómo se produce una cruz de Einstein. La galaxia capta diferentes trayectorias de luz en el camino entre el telescopio y la fuente de luz.


Una colección de cruces de Einstein, todas las cuales son duplicados de los mismos objetos.


Muchos anillos de Einstein, o secciones de anillos, ya que las galaxias se enfocan en forma de anillo.


Disección de material de archivo UAP

2013 Aguadilla, Puerto Rico

Vamos a analizar cuál es probablemente el mejor metraje disponible de un UAP. No está cortado y muestra más de 3 minutos de imágenes de un UAP moviéndose bajo sobre el área circundante del aeropuerto Rafael Hernández y se sumerge en el océano, donde parece estar presente un segundo UAP de la misma forma.

Debido a su baja altitud, podemos ver el fondo detrás del objeto y podemos buscar los siguientes efectos: lente gravitacional del fondo alrededor del UAP, aparente cambio de forma del UAP siempre que maniobra debido a cambios en el campo de distorsión, sin impedimentos movimiento a través del agua e invisibilidad parcial. Tenga en cuenta que el borde blanco alrededor del objeto es un efecto de la cámara térmica y es común con dichos sistemas. No significa que haya baja temperatura alrededor de la nave y no es de las lentes de las que estamos hablando.

Este es un video térmico filtrado por Seguridad Nacional del 25 de abril de 2013 a las 9:20 pm hora local, filmado por un avión turbohélice DHC-8 controlado por la Oficina de Aduanas y Protección Fronteriza de EE. UU. El video fue obtenido de una fuente oficial el 20 de octubre de 2013, cuya identidad (por motivos de persecución) se mantuvo confidencial. Todos los fotogramas del video han sido analizados, diseccionados y examinados para que sean reales.

A continuación, encontrará el metraje original y una mejora de IA que hemos hecho a 1080P. Eso sí, solo use el metraje original como evidencia y el exclusivo para una visualización más fácil si lo desea. Hemos dedicado decenas de horas a analizar este metraje fotograma a fotograma, ya que eso y un buen ojo son necesarios para resaltar realmente los efectos.


Material de archivo original en baja resolución



Material de archivo mejorado con IA de 1080P de alta calidad



1. Duplicación

Recuerde que para poder navegar, la nave necesita cambiar la geometría del campo de distorsión, cambiando así la lente gravitacional. Esto hace que la luz del objeto se acerque o se aleje de la cámara de diferentes maneras, cambiando la forma aparente del objeto.

Durante el video, puede ver varios momentos en los que aparece un espejismo del objeto justo encima de él. Tras una inspección en cámara lenta, encontramos que el espejismo aparece de la nada, siendo transparente al principio y luego volviéndose más fuerte, a veces reemplazando por completo la forma original de la nave.

A continuación, se muestran varias instancias en bucle por orden de aparición.






Nuestra teoría no solo explica esto, sino que también lo hace predecible. Cuando la nave acelera hacia la cámara, ya sea girando o desacelerando cuando mira en la dirección opuesta, el campo de distorsión cambia y las lentes se iluminan en esta dirección. Lo hace porque para acelerar hacia la cámara, tiene que crear una pendiente gravitacional en esa dirección, y aquí es donde se enfoca la luz. El objeto está dando un giro brusco, lo que coincide con tal espejismo.

Como veremos más abajo, el objeto también puede parecer encogerse y desaparecer, lo que coincide con aceleraciones opuestas. Si tuviéramos cámaras en lados opuestos de la nave, veríamos un espejismo en una cámara e invisibilidad en la otra porque la luz del lado invisible es la luz que vemos en el lado que presenta un espejismo. Entonces, la luz que nos falta en un lado es la luz adicional que obtenemos en el otro.


A medida que el objeto cambia su trayectoria de vuelo, el campo de distorsión cambia y vemos en una dirección donde otra vista del objeto se enfoca en la dirección de la cámara. Vemos que el espejismo aparece por encima de la forma aparente original. Está claramente por encima del objeto, no es parte de él.


Estamos viendo dos versiones del mismo objeto desde dos ángulos. El espejismo en la parte superior se traga y reemplaza la forma aparente original en la parte inferior. El objeto desacelera y gira hacia el este cuando esto sucede, cambiando el campo de distorsión como se esperaba.


Otro caso en el que el original es intercambiado por un espejismo cuando el objeto navega de manera diferente. El objeto también desacelera en este momento.


2. Invisibilidad

En muchos casos durante el video, vemos que la nave se reduce a un tamaño más pequeño, a menudo del tamaño de un punto pequeño, y a veces desaparece por completo durante uno o dos cuadros. Luego, la nave reaparece repentinamente, lo que parece coincidir con que se nivela nuevamente.

El encogimiento parece ocurrir cuando la nave se mueve en sentido opuesto a cuando se duplica. De esto podemos entender lo que está sucediendo aquí. Cuando vemos que el objeto se hace más pequeño o desaparece, un observador en el lado opuesto vería un espejismo, ya que ahí es donde va la luz que falta. Para todos los casos en los que vemos un espejismo, un observador en el lado opuesto vería que la nave se hace más pequeña o desaparece. Esto es exactamente lo que esperaríamos de una nave con un sistema de propulsión que distorsiona el espacio-tiempo como se describe.


El objeto se vuelve más pequeño y luego más grande.


El objeto se vuelve más pequeño, luego más grande a medida que cambia de dirección y aparece un espejismo.


El objeto es pequeño y se agranda a medida que cambia de dirección y aparece un espejismo.


El objeto desaparece y reaparece mientras navega. En el lado opuesto, veríamos un espejismo que se traga la nave, como hemos visto en un ejemplo más arriba. Incluso puedes ver cómo es una imagen reflejada de ese proceso.


Igual que antes pero no tan fuerte.


El objeto acelera fuertemente (más de 200G) a 4-5 veces su velocidad original y apenas se ve a medida que avanza hacia el mar. Nada obstruye la vista. Estamos al tanto del testimonio de testigos presenciales tomados en el lugar, diciendo que el objeto parecía una herradura mirando hacia adelante y se convirtió en una esfera mientras corría hacia el mar.


3. Lente de fondo

Dado que el UAP se ve desde arriba, podemos observar cómo la luz de los objetos del fondo pasa junto a él y se enfoca en lentes. Todo el video presenta tales efectos de lente, pero requieren un buen ojo y paciencia para detectar a medida que avanza de un cuadro a otro. Al mirar el objeto en movimiento, la lente de aspecto vidrioso a su alrededor se nota mejor mientras se mueve. Las capturas de pantalla o los bucles ralentizados no le hacen justicia.

Nota: nuevamente, en esta vista térmica, el negro es caliente y el blanco es frío. El objeto parece tan caliente como los motores de un camión en la calle. Los sistemas de cámaras térmicas como este generalmente agudizan la imagen, provocando que los objetos circundantes sean blancos. Este borde blanco no es el campo de distorsión del que estamos hablando, aunque parece estar influenciado por él, ya que el campo cambia las dimensiones aparentes y la luz alrededor del objeto.

Aquí hay una colección de momentos notables.


Las líneas en el campo se doblan a medida que el UAP se mueve por encima de ellas en nuestra línea de visión. Esto es fácilmente visible en la escala superior, ya que la IA hace que las líneas sean más fuertes, pero se puede observar lo mismo en el metraje original de baja resolución. Se ven líneas y formas curvas circulares a lo largo del video.


Cuando el objeto abandona el campo, su borde oscuro parece adherirse al objeto. Esto se debe a que la luz que normalmente pasaría más allá del objeto se enfoca a su alrededor y se dirige hacia la cámara.


El borde del agua de este estanque aparentemente se aprieta cuando el objeto se mueve a través de él.


(Metraje de baja resolución): cuando el objeto pasa por la pista, un fotograma lo atrapa perfectamente justo por encima de la línea entre las áreas claras y oscuras. Esta línea se enfoca alrededor del objeto por encima y por debajo y crea formas curvas. Además, las lentes de fondo oscuro alrededor del objeto y salen más oscuras (más calientes), haciendo un anillo más oscuro.


(Metraje mejorado) - Aquí vemos la misma escena en el metraje mejorado.


Un bosquejo de lo que nos enfocamos en este clip. No tenemos forma de saber cómo se ve realmente el campo de distorsión, aunque ciertamente es más complicado que un simple campo esférico. Sin embargo, podemos ver un efecto de lente claro como si la luz simplemente se moviera alrededor del objeto desde este ángulo.


Observe el anillo oscuro alrededor del objeto. La lente alrededor del objeto se limita a un radio particular, lo que nos muestra el tamaño del campo de distorsión. El anillo oscuro es la luz que proviene del propio objeto y que vuelve a enfocarse en la cámara.


4. Inmersión y segundo objeto

Cerca del final del video, vemos que el objeto se sumerge en el Atlántico y se encuentra con una segunda nave de la misma forma aparente. El operador de la cámara hace zoom y podemos ver una vista más clara del objeto, apareciendo como múltiples parches que están conectados entre sí. Es más, el objeto retiene su calor y se mueve a alrededor de 100 mph, solo 20 mph menos que su velocidad promedio en el aire, demostrando que el agua no impide sus movimientos, algo que sería imposible para cualquier nave que esté en contacto con el aire o el fluido circundante.

Observamos que en ciertas áreas del mundo, muchos lugareños, especialmente pescadores, han informado haber visto estos objetos entrar y salir del mar. Dado que ahora tenemos evidencia en video de tal evento, vemos que los relatos del público no pueden simplemente descartarse.


El objeto entra al agua sin impedancia. Algunas partes aparecen oscuras, ya que es probable que haya ciertos lugares del objeto que estén calientes, mientras que la forma vidriosa que los rodea es el campo de distorsión. Al entrar, el agua tiene que moverse alrededor del objeto, siguiendo el campo de distorsión y ocluyendo parcialmente la vista.


Moviéndose a lo largo de la superficie del agua, la mancha oscura del fondo aparece como un reflejo. Todas las manchas permanecen dentro de un radio notable que parece estar rodeado por una esfera transparente.


El objeto entra en el agua rápidamente y sin ralentizarse. El agua se mueve alrededor del objeto, aunque es difícil de detectar debido a su baja temperatura.


El objeto se mueve rápidamente bajo la superficie del agua a unas 100 mph.


El objeto emerge del agua sin impedancia y parece que se está partiendo en dos.


Vemos un segundo objeto del mismo tipo y patrón de lente que acompaña al primero. Los dos objetos se mueven juntos como compañeros. A primera vista, parece como si la nave fuera realmente una unidad de dos naves unidas, que luego se separaron en el agua. Esto es poco probable porque ya vemos dos manchas oscuras en la nave original cuando entra al agua y también tiene el mismo tamaño que cada uno de los dos objetos. Si se trataba de dos naves, no es desconcertante porque aún pueden parecer del mismo tamaño cuando se dividen. Lo que estamos viendo no es la nave directamente, sino el campo de distorsión a su alrededor, que podemos esperar que sea del mismo tamaño que antes. Una tercera posibilidad, bastante mundana, es que se trata de un reflejo, ya que podemos ver llamativos reflejos oscuros de árboles en un estanque al principio del video. Sin embargo, el mar no está tan quieto como un estanque y probablemente no permitiría reflejos tan claros.


Es más, en los 15 segundos anteriores a este clip, la velocidad de la nave descendió por debajo de las 50 mph, por lo que se redujo a aproximadamente la mitad de la velocidad que tenía cuando se movía bajo el agua al principio. Esto no es sorprendente dado que dos pilotos se están reuniendo (o dos naves saliendo de una configuración bloqueada), lo que demuestra además que están bajo un control inteligente.

Pero espera, ¿realmente entra al agua? Es difícil de ver, así que reduzcamos la velocidad y agreguemos mucho contraste para que podamos ver las salpicaduras del agua mientras se mueve por el campo de distorsión. De hecho, cuando sale del agua, es evidente que el agua corre y salpica alrededor del objeto tal y como esperamos que se vea.




Escepticismo y realidad

Solíamos ser escépticos sobre los UAP antes del lanzamiento del Pentágono, por lo que conocemos muy bien a este tipo de personas. Los escépticos ven los UAP al mismo nivel que creer en fantasmas, por lo que la posibilidad ni siquiera es una opción para ellos y siempre encontrarán una alternativa mundana. Incluso los videos oficiales del Pentágono se explican como pájaros, bengalas o aviones de pasajeros a pesar de que la Marina tiene datos exactos de seguimiento de radar de sus movimientos, videos de alta resolución de estos objetos y expertos con décadas de experiencia que lo vieron, pero no pudieron identificar estos objetos. Pero un escéptico con solo un video cortado en baja resolución es de alguna manera capaz de descubrir su naturaleza mundana y luego decide que es verdad. ¿Ves lo ridículo y arrogante que es esto? Lo sabemos, solíamos ser así, y así es como toda la evidencia de los UAP que llega al público siempre se destruye.

Para el video de arriba, afirman que era un globo o una linterna que estaba mayormente estacionaria. Lo que no sabían es que teníamos acceso al equipo de mantenimiento real de esta misma cámara y esta misma aeronave y nos dijo que el objeto no era un globo, ya que nunca se vería así en la cámara. El UAP apareció en el radar del aeropuerto sin un código de transpondedor (un avión fantasma, esencialmente) y, por lo tanto, el aeropuerto se cerró para vuelos entrantes y salientes durante un corto tiempo. Se tomaron relatos de testigos presenciales en el suelo, diciendo que el objeto corrió hacia el mar y transformó su forma de una herradura orientada hacia adelante a una esfera, corroborando lo que vemos en las imágenes. Los escépticos ignoran toda esta información adicional y siguen afirmando que es un globo.

Más allá de este video, las personas que han investigado los UAP durante más de 30 años se han comunicado con nosotros. Nos dijeron que cada relato o metraje creíble que hayan visto o escuchado se ajusta exactamente a los observables predichos por esta teoría porque estos observables son muy comunes con los UAP y siempre son los mismos.

Los militares de todo el mundo están comenzando a ordenar a todos sus pilotos que informen sobre encuentros con UAP (por ejemplo, Japón lo hizo en el otoño boreal de 2020) porque los sensores que ahora están en uso en los barcos tienen una fidelidad tan alta que los UAP simplemente se muestran en la pantalla, con velocidades de rendimiento. a veces más de 100.000 mph. Todos estos ejércitos se están tomando esto en serio, ya que ya no estamos hablando de una luz extraña en la distancia, sino de un rastreo real de radar 3D. Los operadores de radar ven claramente estos objetos y es por eso que comenzamos a escuchar cada vez más relatos y detalles.

Imágenes FLIR

Uno de los videos oficialmente reconocidos como reales por el Departamento de Defensa se llama FLIR, filmado por un sistema diseñado para rastrear automáticamente objetos en movimiento rápido, en particular misiles. Los operadores de dicho equipo afirman que en miles de horas de uso, el sistema nunca pierde el rastro de los objetos. Si está montado en un vehículo que golpea una roca lo suficientemente grande, provocando un movimiento repentino del vehículo y su cámara, la cámara puede perder el rumbo momentáneamente. A continuación, vemos varios momentos en los que el sistema pierde la pista del mismo UAP.


El objeto es rastreado, luego se mueve repentinamente en un círculo como si no tuviera inercia, y el sistema FLIR necesita recuperar su rastreo. Esperamos tales movimientos debido a la interferencia entre el pozo de gravedad de la Tierra y el campo de distorsión que lo superpone.


El objeto se cierne y acelera repentinamente hacia la izquierda, lo que hace que el sistema pierda el rumbo nuevamente.


Reducido al 10% de la velocidad del video original, vemos que el objeto realiza un movimiento diagonal vertical a una velocidad repentina y alta, comenzando desde una posición de reposo. El objeto se mueve tan rápido que salta de un cuadro a otro porque la velocidad de cuadro de la cámara es insuficiente para capturar el movimiento sin problemas. En particular, a medida que el objeto acelera, se vuelve borroso mientras aún se sigue e inmóvil en ese momento, lo que apunta a un campo de distorsión que se genera para crear la geodésica a lo largo de la cual el objeto se mueve.


El video FLIR



Conclusiones y origen de los UAP

El carácter de una explicación fundamental es que es simple y da cuenta de una amplia variedad de fenómenos más complicados que se derivan de ella. Nuestra hipótesis es tal explicación. Se deriva inmediatamente de una ley fundamental del movimiento que no tiene alternativas, ya que solo las geodésicas están libres de aceleraciones. Puede expresarse en una oración y obtenemos una larga lista de observables y comportamientos de ella.

Más allá de las imágenes publicadas, filtradas y discutidas, hay una gran cantidad de relatos de pilotos de la Marina y otro personal militar en todo el mundo que están exactamente en línea con las predicciones de un sistema de propulsión geodésica. Es notable que podamos decir que no parece haber ninguna discrepancia conocida entre esta teoría y cualquier relato y observación creíble durante el siglo pasado, como se esperaría de una explicación fundamental.

Las imágenes de Puerto Rico de 2013 demuestran la lente gravitacional exactamente de la manera que podemos esperar. Observamos espejismos, invisibilidad y movimiento sin obstáculos a través del agua a altas velocidades. Además, las imágenes de FLIR muestran las increíbles aceleraciones y velocidades. Todos los observables conocidos de UAP pueden explicarse mediante una sola tecnología. La lente gravitacional es un nuevo observable que no se ha descrito antes hasta donde sabemos, aunque las formas poco claras y el aparente cambio de forma son ocurrencias comúnmente conocidas cuando se observan UAP.

Si un país extranjero hubiera desarrollado esta tecnología en secreto, habría necesitado desarrollar una teoría completa de la gravedad cuántica varias décadas antes del año 2000, ya que existió una nave completa durante el incidente "Tic Tac" de 2004. Las ecuaciones de una teoría fundamental por sí solas no son suficientes para construir tecnología a partir de ella, ya que estas ecuaciones deben aplicarse a sistemas físicos para diseñar cualquier cosa. Aplicar una teoría es difícil, necesita más décadas de trabajo y requiere una potencia informática moderna que no existía hace décadas. Se necesitarían crear muchas tecnologías y herramientas adicionales para construir realmente tal nave y todos sus materiales.

Reconocemos que no es simplemente un obstáculo de ingeniería, sino la falta de una teoría completa de la gravedad cuántica lo que impide a cualquier país desarrollar dicha tecnología. Sería extraordinario sugerir que tal tecnología fue desarrollada por cualquier país en un momento en que nuestras computadoras todavía usaban disquetes y no existían otras herramientas modernas y ciencia de materiales. En conjunto, un país así habría estado muy por delante del resto del mundo. Por lo tanto, tenemos que concluir que la probabilidad de que estos objetos tengan un origen extraterrestre es muy segura.

Dada la gran cantidad de exoplanetas habitables que estamos descubriendo actualmente, que van hasta 6 mil millones de estos planetas en la galaxia, este resultado se está volviendo completamente ordinario y esperado. Es más, la gran cantidad de planetas habitables y la gran cantidad de tiempo cósmico asegura que la vida extraterrestre compleja probablemente haya evolucionado varias veces y hace mucho tiempo, dado que cualquier simultaneidad con nuestra civilización sería una coincidencia extraordinaria. Esto significa que si están aquí hoy, lo han estado durante mucho tiempo y deben haber sido notados a lo largo de la historia, lo que puede explicar los relatos de UAP que tenemos desde la antigüedad clásica.

Dado el acuerdo de esta teoría con prácticamente todos los datos creíbles del último siglo, consideramos resuelto el asunto del origen de estos vehículos. Lo que realmente tenemos que hacer en el futuro es informar al público de este hecho, ya que no vamos a tener ninguna comunicación con personas de fuera del mundo mientras no estemos ni siquiera colectivamente conscientes de ellos. Por lo que sabemos, la conciencia colectiva puede ser lo que están esperando. En lugar de discutir si existen, deberíamos hablar sobre cómo podemos apelarles que estamos listos para que nos hablen, lo cual parecen evitar con diligencia.

Acerca de nuestras predicciones restantes

Todavía tenemos que hablar sobre nuestras predicciones restantes, ya que hasta ahora solo hemos demostrado que la lente gravitacional está ocurriendo de la manera que esperamos.

  1. Los diseños redondos y geométricos de UAP están bien establecidos y ahora son comprensibles.
  2. Los giros bruscos y las maniobras son algunas de las cosas comunes que sabemos sobre los UAP.
  3. Sus altas velocidades (incluso se han medido 100.000 mph) son bien conocidas. También suelen ir al océano o emerger de él. El contacto del radar se convierte en contacto del sonar cuando el UAP entra en el agua. Los objetos sumergidos no identificados son una cosa, al igual que los objetos submarinos de híper velocidad en los libros de mano de la Marina.
  4. Se sabe que los UAP se mueven en silencio, como cabría esperar de un dispositivo que no está en contacto con el aire.
  5. Hablamos de lentes gravitacionales en los videos de arriba.
  6. Hablamos de la invisibilidad en el video de arriba.
  7. Existen múltiples relatos creíbles de testigos presenciales de esto por parte del personal militar, a menudo para UAPs triangulares negros, algunos de los cuales parecen trazar un mapa de la superficie a medida que avanzan sobre áreas en patrones. Aparecen geométricos y, por lo tanto, no están distorsionados como se esperaba.
  8. Conocemos un relato de un piloto de la Marina que vio un “cubo negro rodeado por una esfera de vidrio”. Se esperan entornos vidriosos del campo de distorsión, pero principalmente del vacío en su interior, lo que hace que la luz se refleje y refracte parcialmente a medida que entra y existe el vacío.
  9. El resplandor estelar alrededor de los UAP está bien establecido. Los UAP de movimiento lento, en particular los de diferentes diseños, a veces parecen no brillar, pero aún exhiben calor a su alrededor (si uno cree que algunos testigos terminaron con quemaduras cuando se acercaron a tal vehículo).
  10. El UAP en el video de Gimbal exhibe este comportamiento de rotación, lo que nos lleva a entender que estaba a punto de saltar a su velocidad máxima u otra alta. Llamativamente, el video se corta en este punto, por lo que no muestra el salto. Si el objeto hubiera continuado moviéndose de manera mundana, habría habido más metraje y no habría razón para cortar el video tan repentinamente después de la rotación. Pero si el mundo viera el objeto desaparecer repentinamente, todos sabrían qué es e incluso la persona más parcial no habría tenido más remedio que aceptarlo. Por lo tanto, debemos señalar que la naturaleza de esta nave probablemente sea conocida por el operador de la cámara y el personal superior que tiene acceso al video sin cortes. Vea abajo:

El video Gimbal





Teoría sobre los UAP: geodésicas del espacio-tiempo
Las geodésicas son la pieza central para comprender qué son los UAP y qué están haciendo.



Entendiendo la geodésica

Las geodésicas son las trayectorias en las que debe moverse un UAP para ser posible.


Las geodésicas en una esfera son líneas de longitud entre dos polos. 

Una geodésica es una línea recta sobre una geometría curva, lo que significa que no tiene giros. Puede que esa línea no parezca recta, pero lo es.

En una hoja de papel plana, una geodésica es una línea recta trivial. En una esfera, son líneas de longitud. En ambos casos, puede moverse sin giros para llegar desde su punto de partida hasta su punto final.

Los objetos del universo están incrustados en el espacio-tiempo, que tiene una geometría curva que depende de las masas que contiene. Cuando no los empuja nada, los objetos se mueven a lo largo de geodésicas (líneas rectas) de esa geometría curvada del espacio-tiempo. Esto significa que las geodésicas son las trayectorias de objetos que caen libremente. La Tierra, por ejemplo, curva el espacio-tiempo a su alrededor y los objetos simplemente siguen esa curvatura, que llamamos gravitación.

Ejemplos de geodésicas

  • La trayectoria de una pelota de béisbol lanzada a la Luna (para que no haya fricción de aire).
  • Los movimientos de todos los objetos en el espacio, como las órbitas de lunas, planetas, asteroides.
  • La órbita de estaciones espaciales, desechos espaciales, satélites, etc.

Piense en un asteroide que ingresa al sistema solar desde el exterior. El sol, los planetas, las lunas y los asteroides crean hendiduras en el espacio-tiempo dentro del sistema solar. A medida que el asteroide lo atraviesa, es como una hormiga que camina en línea recta a lo largo de esa superficie curva con todas esas hendiduras. Toda esa trayectoria es la geodésica del asteroide.

Recuerde, una geodésica es una curva que no tiene curvas.

A medida que el asteroide se mueve, nunca gira, aunque parece que se mueve en una trayectoria curva alrededor del sistema solar. La órbita de la luna tampoco tiene giros, aunque se mueve a lo largo de una elipse aparente. Esto parece un error, pero en realidad es un error porque imaginamos intuitivamente el movimiento en un espacio plano. Pero el espacio-tiempo es curvo. La luna se mueve en línea recta pero siguiendo la geometría curva.

Esto se vuelve más claro si imagina saltar de un avión y lanzar una pelota de béisbol (sin tener en cuenta la presión del aire). A medida que cae, verá que la pelota de béisbol se aleja de usted en línea recta. Esto se debe a que ambos se encuentran en el mismo marco de referencia en caída libre. Ambos se están moviendo en una geodésica, su trayectoria natural a través del espacio-tiempo. Solo un observador en el suelo verá a usted y a la pelota caer en una parábola.

Los objetos que se mueven libremente no experimentan aceleraciones porque nunca giran. Solo si se alejan de su geodésica experimentarán una aceleración.

No puedes sentir la gravedad. El peso de tu cuerpo no se debe a la gravedad, aunque tendemos a decir lo contrario. Lo que realmente está sucediendo es que la Tierra se interpone en nuestro camino. Nuestra geodésica apunta hacia el interior de la Tierra, pero no podemos caer allí. Entonces, la Tierra nos está alejando de nuestra geodésica y ese impulso representa un giro en nuestro movimiento a través del espacio-tiempo. Este giro invisible constante es el peso que sentimos, al igual que girar en un automóvil produce una aceleración.

Imagina que eres un astronauta en la estación espacial internacional. La estación se mueve en una órbita alrededor de la Tierra, por lo que está en su geodésica natural y, por lo tanto, no tiene aceleraciones. Tú y la estación están en cero G. Pero ahora imagina que un cohete propulsor mueve lentamente la estación espacial hacia un lado. Mientras flota en la estación, verá que una pared se acerca a usted y la pared opuesta se aleja. Eventualmente, golpearías la pared y serías empujado contra ella. Sentirías tu propio peso.

En otras palabras, en la Tierra, somos los que estamos en un marco de referencia acelerado. Vemos que una pelota de béisbol se mueve a lo largo de una parábola, no porque se acelere, sino porque nosotros.

Los objetos no sienten la fuerza de la gravedad. No hay fuerza. Simplemente están siguiendo la curvatura natural del espacio-tiempo.

Es por eso que un UAP necesita moverse a lo largo de geodésicas. Sus aceleraciones son tan enormes que la única forma de que sean posibles es que estas aceleraciones no existan en absoluto. Pero las geodésicas alrededor de la Tierra son órbitas y trayectorias de bala de cañón. Entonces, un UAP tiene que crear sus propias geodésicas distorsionando el espacio-tiempo en su vecindad inmediata, lo que le permite caer hacia adelante, hacia cualquier lado o hacia arriba, según lo considere oportuno el piloto. Debido a que están cayendo, no tienen fuerzas sobre ellos. No giran, no importa cómo se muevan.

Los UAP no vuelan; están cayendo.

Aquí hay una visualización muy útil de las órbitas en una superficie curva.




Ecuación geodésica

Para los lectores con una mentalidad más matemática, estamos derivando la ecuación de movimiento para objetos que se mueven libremente.

Comenzamos imponiendo que una partícula que cae libremente no experimenta aceleración.


Aquí, \ tau es un parámetro escalar de movimiento, como el tiempo en el marco de referencia de la partícula (tiempo propio).

A continuación, usamos la regla de la cadena para obtener



Diferenciando con respecto al tiempo, obtenemos


Así


Multiplica la ecuación anterior por la siguiente expresión:



Entonces obtenemos


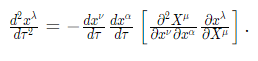
La expresión entre paréntesis se llama símbolo de Christoffel:


Para que podamos escribir


Esta es la ecuación geodésica, la ecuación de movimiento de una partícula en el espacio-tiempo curvo.

Resolver esta ecuación produce la trayectoria de una partícula que se mueve libremente a medida que se mueve a través del espacio-tiempo (por ejemplo, órbitas planetarias).

En el límite de campos estáticos débiles y velocidades lentas, la ecuación geodésica se convierte en la ecuación de movimiento de Newton en un campo gravitacional.




Modificado por orbitaceromendoza